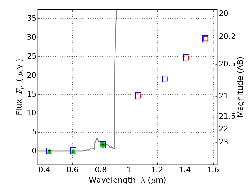
PLCKG308-20 ACS+IR detection object #3044

Color images and BPZ results
Catalog: 3044.cat
Black segments are analyzed here.   Roll mouse over color images to view segments.
Best viewed in a wide browser window (1200 pixels or more).   Download SED & P(z) plots to view larger versions.
In P(z) plots: Yellow lines mark the cluster redshift z = 0.480,  

Object #3044   x,y = (767, 2717)   RA, Dec = (15:19:35.376, -81:30:21.60) = (229.89740, -81.50600)   BPZ = 6.385 [5.995--8.629]   type = 6.00 (Sbc_B10)   chisq2 = 0.00   ODDS = 0.46   z_cluster = 0.480