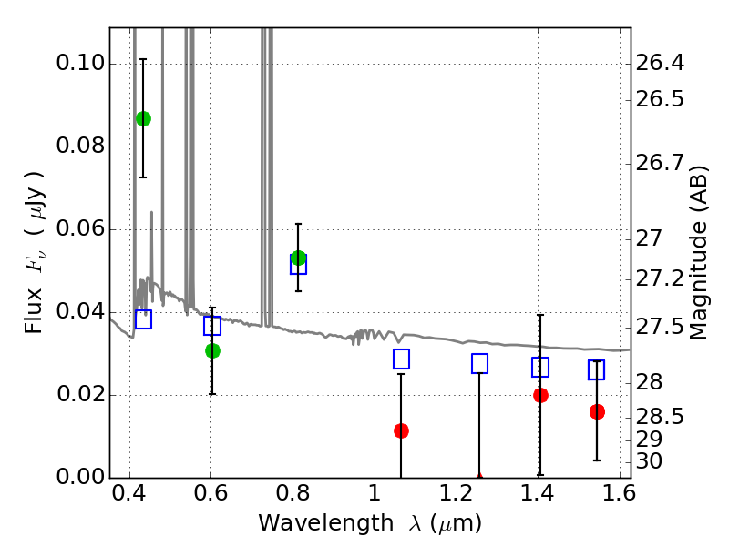
PLCKG308-20 ACS+IR detection object #3026

Color images and BPZ results
Catalog: 3026.cat
Black segments are analyzed here.   Roll mouse over color images to view segments.
Best viewed in a wide browser window (1200 pixels or more).   Download SED & P(z) plots to view larger versions.
In P(z) plots: Yellow lines mark the cluster redshift z = 0.480,  

Object #3026   x,y = (2287, 2945)   RA, Dec = (15:18:54.216, -81:30:08.28) = (229.72590, -81.50230)   BPZ = 0.109 [0.075--1.068]   type = 11.00 (SB11_A_0_l)   chisq2 = 2.30   ODDS = 0.53   z_cluster = 0.480