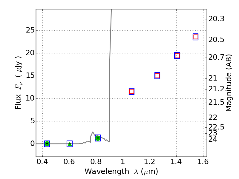
PLCKG308-20 ACS+IR detection object #2826

Color images and BPZ results
Catalog: 2826.cat
Black segments are analyzed here.   Roll mouse over color images to view segments.
Best viewed in a wide browser window (1200 pixels or more).   Download SED & P(z) plots to view larger versions.
In P(z) plots: Yellow lines mark the cluster redshift z = 0.480,  

Object #2826   x,y = (4327, 2949)   RA, Dec = (15:17:58.992, -81:30:07.92) = (229.49580, -81.50220)   BPZ = 6.406 [6.020--8.772]   type = 6.00 (Sbc_B10)   chisq2 = 0.00   ODDS = 0.44   z_cluster = 0.480