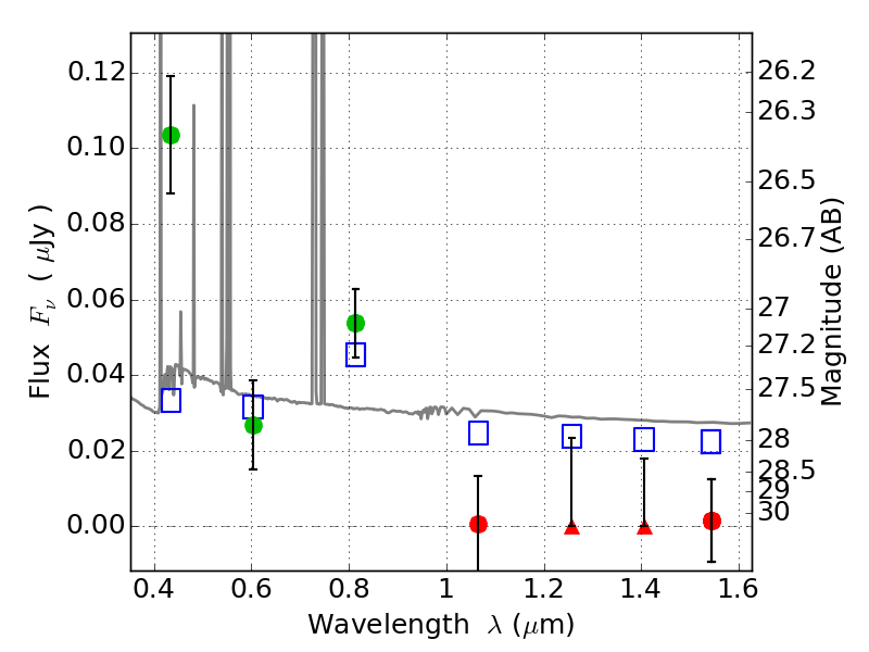
PLCKG308-20 ACS+IR detection object #2732

Color images and BPZ results
Catalog: 2732.cat
Black segments are analyzed here.   Roll mouse over color images to view segments.
Best viewed in a wide browser window (1200 pixels or more).   Download SED & P(z) plots to view larger versions.
In P(z) plots: Yellow lines mark the cluster redshift z = 0.480,  

Object #2732   x,y = (2574, 2839)   RA, Dec = (15:18:46.440, -81:30:14.76) = (229.69350, -81.50410)   BPZ = 0.111 [0.067--0.254]   type = 11.00 (SB11_A_0_l)   chisq2 = 5.41   ODDS = 0.71   z_cluster = 0.480