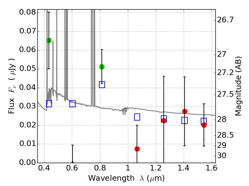
PLCKG308-20 ACS+IR detection object #2721

Color images and BPZ results
Catalog: 2721.cat
Black segments are analyzed here.   Roll mouse over color images to view segments.
Best viewed in a wide browser window (1200 pixels or more).   Download SED & P(z) plots to view larger versions.
In P(z) plots: Yellow lines mark the cluster redshift z = 0.480,  

Object #2721   x,y = (2415, 2843)   RA, Dec = (15:18:50.760, -81:30:14.40) = (229.71150, -81.50400)   BPZ = 0.130 [0.089--2.709]   type = 11.00 (SB11_A_0_l)   chisq2 = 2.73   ODDS = 0.42   z_cluster = 0.480