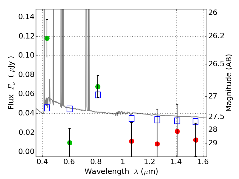
PLCKG308-20 ACS+IR detection object #2612

Color images and BPZ results
Catalog: 2612.cat
Black segments are analyzed here.   Roll mouse over color images to view segments.
Best viewed in a wide browser window (1200 pixels or more).   Download SED & P(z) plots to view larger versions.
In P(z) plots: Yellow lines mark the cluster redshift z = 0.480,  

Object #2612   x,y = (2167, 2903)   RA, Dec = (15:18:57.456, -81:30:10.80) = (229.73940, -81.50300)   BPZ = 0.112 [0.081--0.976]   type = 11.00 (SB11_A_0_l)   chisq2 = 3.58   ODDS = 0.55   z_cluster = 0.480