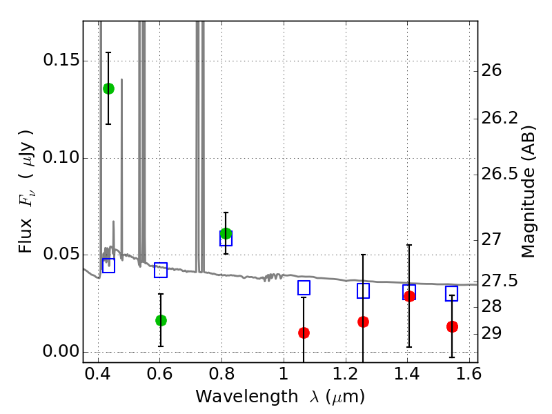
PLCKG308-20 ACS+IR detection object #2183

Color images and BPZ results
Catalog: 2183.cat
Black segments are analyzed here.   Roll mouse over color images to view segments.
Best viewed in a wide browser window (1200 pixels or more).   Download SED & P(z) plots to view larger versions.
In P(z) plots: Yellow lines mark the cluster redshift z = 0.480,  

Object #2183   x,y = (1806, 3311)   RA, Dec = (15:19:07.200, -81:29:46.32) = (229.78000, -81.49620)   BPZ = 0.103 [0.079--2.352]   type = 11.00 (SB11_A_0_l)   chisq2 = 4.56   ODDS = 0.40   z_cluster = 0.480