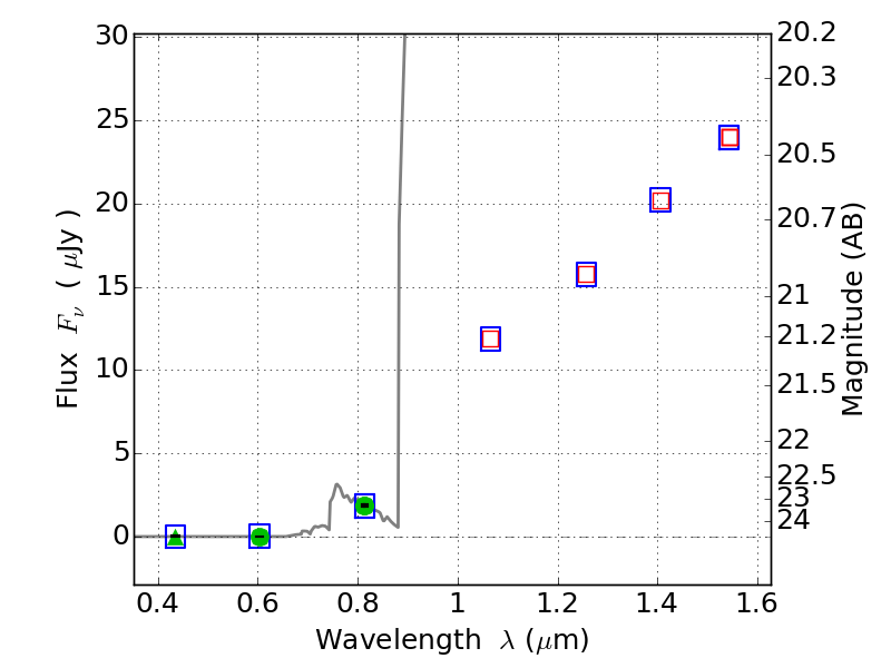
PLCKG308-20 ACS+IR detection object #2086

Color images and BPZ results
Catalog: 2086.cat
Black segments are analyzed here.   Roll mouse over color images to view segments.
Best viewed in a wide browser window (1200 pixels or more).   Download SED & P(z) plots to view larger versions.
In P(z) plots: Yellow lines mark the cluster redshift z = 0.480,  

Object #2086   x,y = (818, 3229)   RA, Dec = (15:19:33.936, -81:29:51.00) = (229.89140, -81.49750)   BPZ = 6.253 [5.894--8.473]   type = 6.00 (Sbc_B10)   chisq2 = 0.00   ODDS = 0.47   z_cluster = 0.480