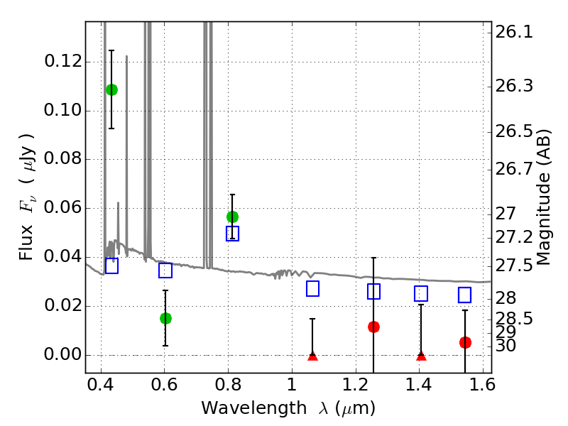
PLCKG308-20 ACS+IR detection object #2078

Color images and BPZ results
Catalog: 2078.cat
Black segments are analyzed here.   Roll mouse over color images to view segments.
Best viewed in a wide browser window (1200 pixels or more).   Download SED & P(z) plots to view larger versions.
In P(z) plots: Yellow lines mark the cluster redshift z = 0.480,  

Object #2078   x,y = (3068, 3232)   RA, Dec = (15:18:33.096, -81:29:51.00) = (229.63790, -81.49750)   BPZ = 0.111 [0.079--0.342]   type = 11.00 (SB11_A_0_l)   chisq2 = 4.89   ODDS = 0.67   z_cluster = 0.480