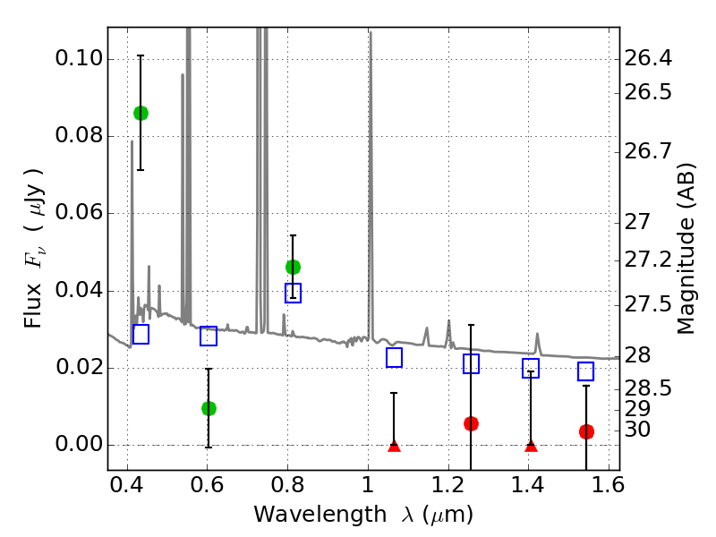
PLCKG308-20 ACS+IR detection object #2028

Color images and BPZ results
Catalog: 2028.cat
Black segments are analyzed here.   Roll mouse over color images to view segments.
Best viewed in a wide browser window (1200 pixels or more).   Download SED & P(z) plots to view larger versions.
In P(z) plots: Yellow lines mark the cluster redshift z = 0.480,  

Object #2028   x,y = (2713, 3255)   RA, Dec = (15:18:42.672, -81:29:49.56) = (229.67780, -81.49710)   BPZ = 0.114 [0.079--0.890]   type = 10.80 (SB11_A_0_l - SB3_B10)   chisq2 = 4.02   ODDS = 0.60   z_cluster = 0.480