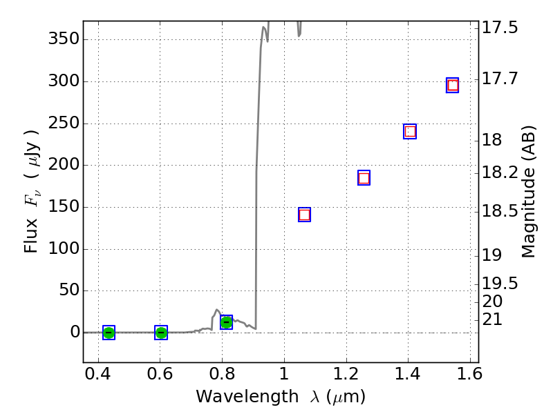
PLCKG308-20 ACS+IR detection object #2006

Color images and BPZ results
Catalog: 2006.cat
Black segments are analyzed here.   Roll mouse over color images to view segments.
Best viewed in a wide browser window (1200 pixels or more).   Download SED & P(z) plots to view larger versions.
In P(z) plots: Yellow lines mark the cluster redshift z = 0.480,  

Object #2006   x,y = (4340, 3297)   RA, Dec = (15:17:58.656, -81:29:47.04) = (229.49440, -81.49640)   BPZ = 6.495 [6.372--7.515]   type = 6.00 (Sbc_B10)   chisq2 = 0.00   ODDS = 0.79   z_cluster = 0.480