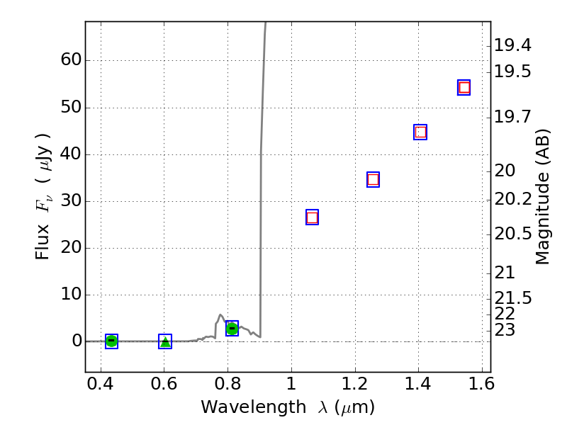
PLCKG308-20 ACS+IR detection object #1991

Color images and BPZ results
Catalog: 1991.cat
Black segments are analyzed here.   Roll mouse over color images to view segments.
Best viewed in a wide browser window (1200 pixels or more).   Download SED & P(z) plots to view larger versions.
In P(z) plots: Yellow lines mark the cluster redshift z = 0.480,  

Object #1991   x,y = (4343, 3304)   RA, Dec = (15:17:58.584, -81:29:46.32) = (229.49410, -81.49620)   BPZ = 6.428 [6.051--8.514]   type = 6.00 (Sbc_B10)   chisq2 = 0.00   ODDS = 0.50   z_cluster = 0.480