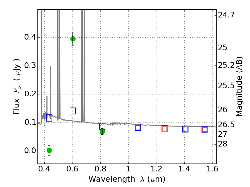
PLCKG308-20 ACS+IR detection object #1975

Color images and BPZ results
Catalog: 1975.cat
Black segments are analyzed here.   Roll mouse over color images to view segments.
Best viewed in a wide browser window (1200 pixels or more).   Download SED & P(z) plots to view larger versions.
In P(z) plots: Yellow lines mark the cluster redshift z = 0.480,  

Object #1975   x,y = (856, 3276)   RA, Dec = (15:19:32.928, -81:29:48.12) = (229.88720, -81.49670)   BPZ = 0.020 [0.010--3.526]   type = 11.00 (SB11_A_0_l)   chisq2 = 140.10   ODDS = 0.82   z_cluster = 0.480