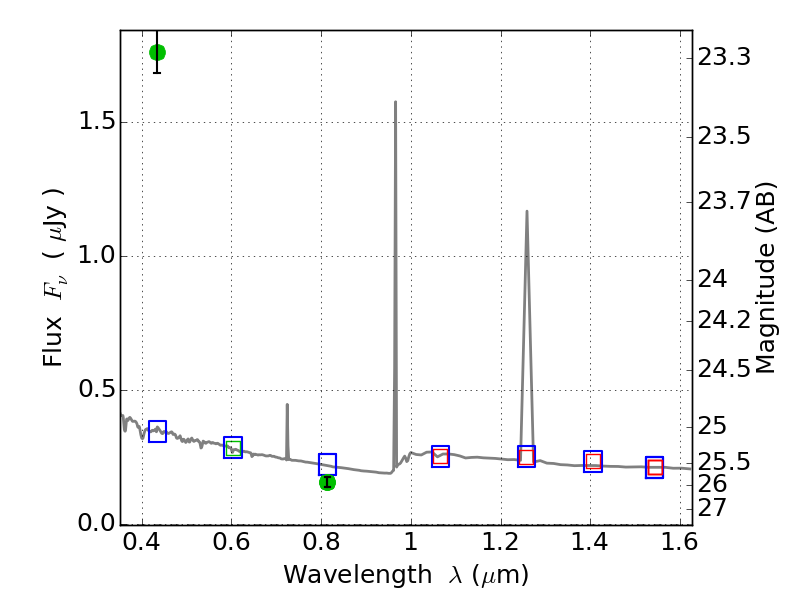
PLCKG308-20 ACS+IR detection object #1761

Color images and BPZ results
Catalog: 1761.cat
Black segments are analyzed here.   Roll mouse over color images to view segments.
Best viewed in a wide browser window (1200 pixels or more).   Download SED & P(z) plots to view larger versions.
In P(z) plots: Yellow lines mark the cluster redshift z = 0.480,  

Object #1761   x,y = (4329, 3392)   RA, Dec = (15:17:58.992, -81:29:41.28) = (229.49580, -81.49480)   BPZ = 1.593 [1.436--2.102]   type = 11.00 (SB11_A_0_l)   chisq2 = 288.90   ODDS = 0.56   z_cluster = 0.480