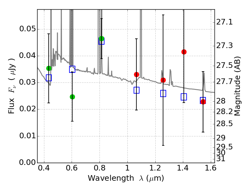
PLCKG308-20 ACS+IR detection object #1691

Color images and BPZ results
Catalog: 1691.cat
Black segments are analyzed here.   Roll mouse over color images to view segments.
Best viewed in a wide browser window (1200 pixels or more).   Download SED & P(z) plots to view larger versions.
In P(z) plots: Yellow lines mark the cluster redshift z = 0.480,  

Object #1691   x,y = (1895, 3460)   RA, Dec = (15:19:04.800, -81:29:37.32) = (229.77000, -81.49370)   BPZ = 0.207 [0.099--3.612]   type = 10.80 (SB11_A_0_l - SB3_B10)   chisq2 = 0.32   ODDS = 0.19   z_cluster = 0.480