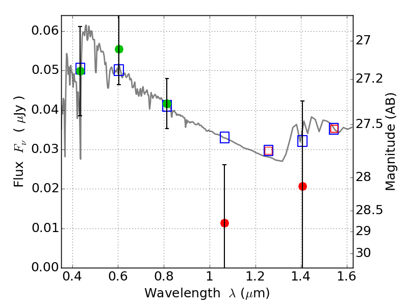
PLCKG308-20 ACS+IR detection object #1321

Color images and BPZ results
Catalog: 1321.cat
Black segments are analyzed here.   Roll mouse over color images to view segments.
Best viewed in a wide browser window (1200 pixels or more).   Download SED & P(z) plots to view larger versions.
In P(z) plots: Yellow lines mark the cluster redshift z = 0.480,  

Object #1321   x,y = (2915, 3607)   RA, Dec = (15:18:37.248, -81:29:28.68) = (229.65520, -81.49130)   BPZ = 2.595 [0.181--3.109]   type = 11.00 (SB11_A_0_l)   chisq2 = 0.89   ODDS = 0.26   z_cluster = 0.480