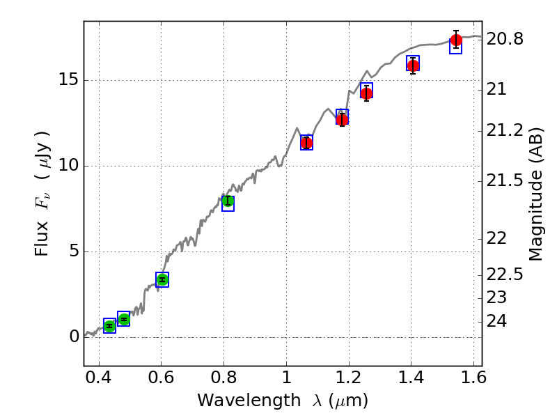
PLCKG287+32 IR detection object #279

Color images and BPZ results
Catalog: 279.cat
Black segments are analyzed here.   Roll mouse over color images to view segments.
Best viewed in a wide browser window (1200 pixels or more).   Download SED & P(z) plots to view larger versions.
In P(z) plots: Yellow lines mark the cluster redshift z = 0.390,  

Object #279   x,y = (2989, 3604)   RA, Dec = (11:50:49.176, -28:03:59.40) = (177.70490, -28.06650)   BPZ = 0.370 [0.307--0.406]   type = 3.70 (Ell4_A_0 - Ell5_A_0)   stellarity = 0.03   chisq2 = 0.03   ODDS = 0.96   z_cluster = 0.390