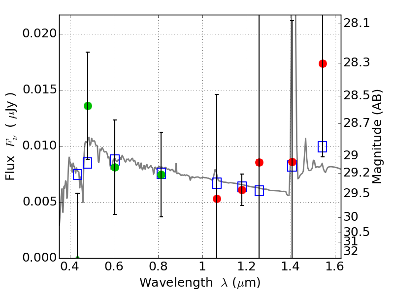
PLCKG287+32 IR detection object #984

Color images and BPZ results
Catalog: 984.cat
Black segments are analyzed here.   Roll mouse over color images to view segments.
Best viewed in a wide browser window (1200 pixels or more).   Download SED & P(z) plots to view larger versions.
In P(z) plots: Yellow lines mark the cluster redshift z = 0.390,  

Object #984   x,y = (2329, 3002)   RA, Dec = (11:50:52.152, -28:04:26.40) = (177.71730, -28.07400)   BPZ = 2.789 [0.238--3.784]   type = 10.40 (SB3_B10 - SB11_A_0_l)   stellarity = 0.35   chisq2 = 0.61   ODDS = 0.15   z_cluster = 0.390