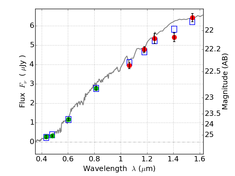
PLCKG287+32 IR detection object #956

Color images and BPZ results
Catalog: 956.cat
Black segments are analyzed here.   Roll mouse over color images to view segments.
Best viewed in a wide browser window (1200 pixels or more).   Download SED & P(z) plots to view larger versions.
In P(z) plots: Yellow lines mark the cluster redshift z = 0.390,  

Object #956   x,y = (1648, 2945)   RA, Dec = (11:50:55.248, -28:04:29.64) = (177.73020, -28.07490)   BPZ = 0.379 [0.293--0.434]   type = 3.30 (Ell5_A_0 - Ell4_A_0)   stellarity = 0.00   chisq2 = 0.21   ODDS = 0.87   z_cluster = 0.390