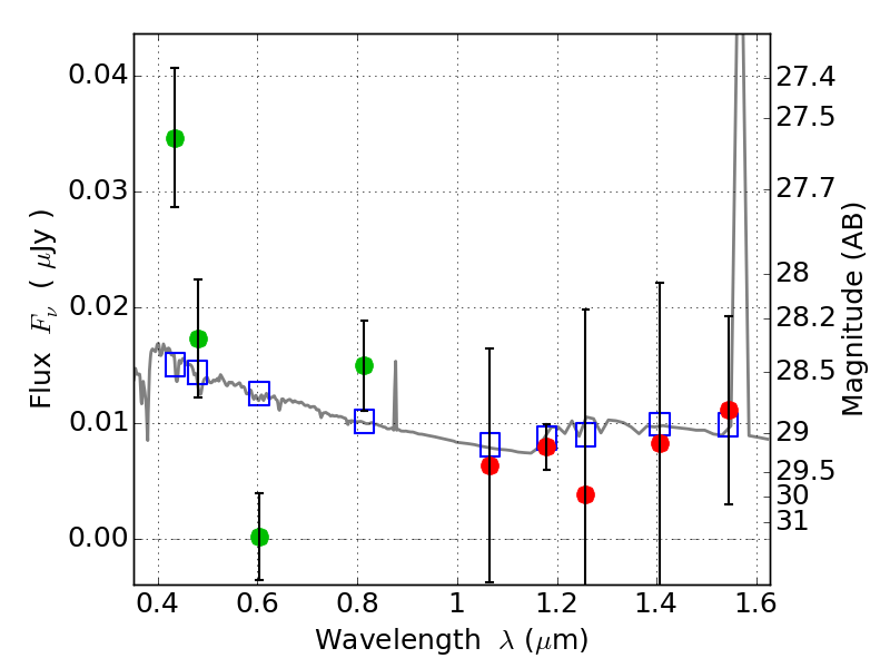
PLCKG287+32 IR detection object #944

Color images and BPZ results
Catalog: 944.cat
Black segments are analyzed here.   Roll mouse over color images to view segments.
Best viewed in a wide browser window (1200 pixels or more).   Download SED & P(z) plots to view larger versions.
In P(z) plots: Yellow lines mark the cluster redshift z = 0.390,  

Object #944   x,y = (1998, 3029)   RA, Dec = (11:50:53.664, -28:04:24.60) = (177.72360, -28.07350)   BPZ = 2.133 [0.195--2.713]   type = 11.00 (SB11_A_0_l)   stellarity = 0.30   chisq2 = 3.76   ODDS = 0.23   z_cluster = 0.390