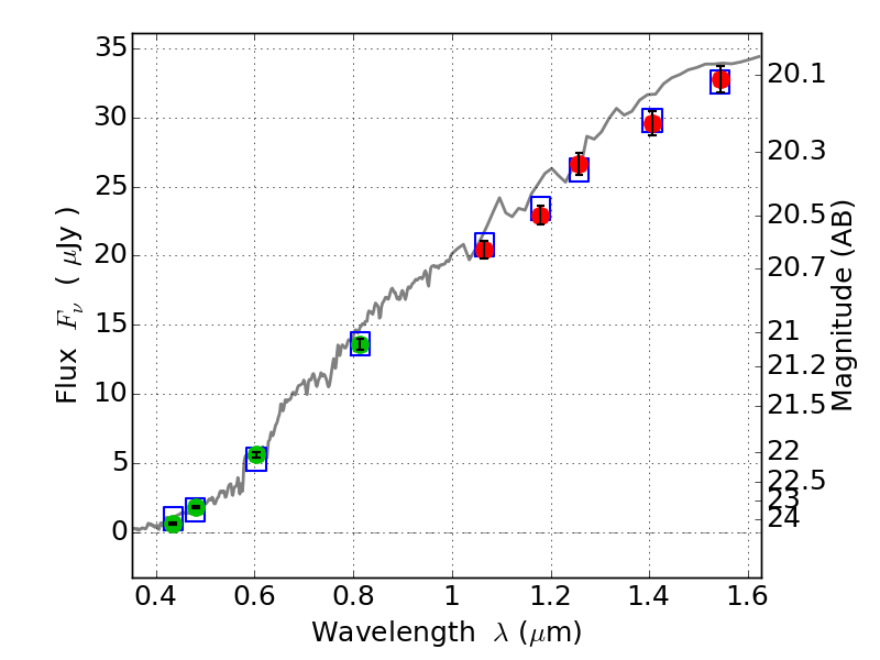
PLCKG287+32 IR detection object #936

Color images and BPZ results
Catalog: 936.cat
Black segments are analyzed here.   Roll mouse over color images to view segments.
Best viewed in a wide browser window (1200 pixels or more).   Download SED & P(z) plots to view larger versions.
In P(z) plots: Yellow lines mark the cluster redshift z = 0.390,  

Object #936   x,y = (3110, 2990)   RA, Dec = (11:50:48.624, -28:04:27.12) = (177.70260, -28.07420)   BPZ = 0.446 [0.320--0.475]   type = 3.60 (Ell4_A_0 - Ell5_A_0)   stellarity = 0.03   chisq2 = 0.03   ODDS = 0.72   z_cluster = 0.390