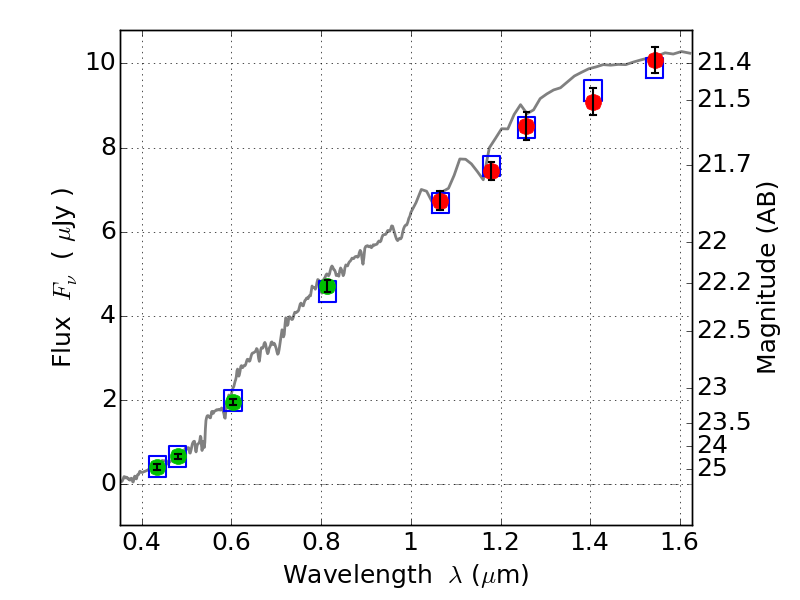
PLCKG287+32 IR detection object #933

Color images and BPZ results
Catalog: 933.cat
Black segments are analyzed here.   Roll mouse over color images to view segments.
Best viewed in a wide browser window (1200 pixels or more).   Download SED & P(z) plots to view larger versions.
In P(z) plots: Yellow lines mark the cluster redshift z = 0.390,  

Object #933   x,y = (3144, 2962)   RA, Dec = (11:50:48.456, -28:04:28.92) = (177.70190, -28.07470)   BPZ = 0.356 [0.284--0.400]   type = 3.60 (Ell4_A_0 - Ell5_A_0)   stellarity = 0.03   chisq2 = 0.05   ODDS = 0.93   z_cluster = 0.390