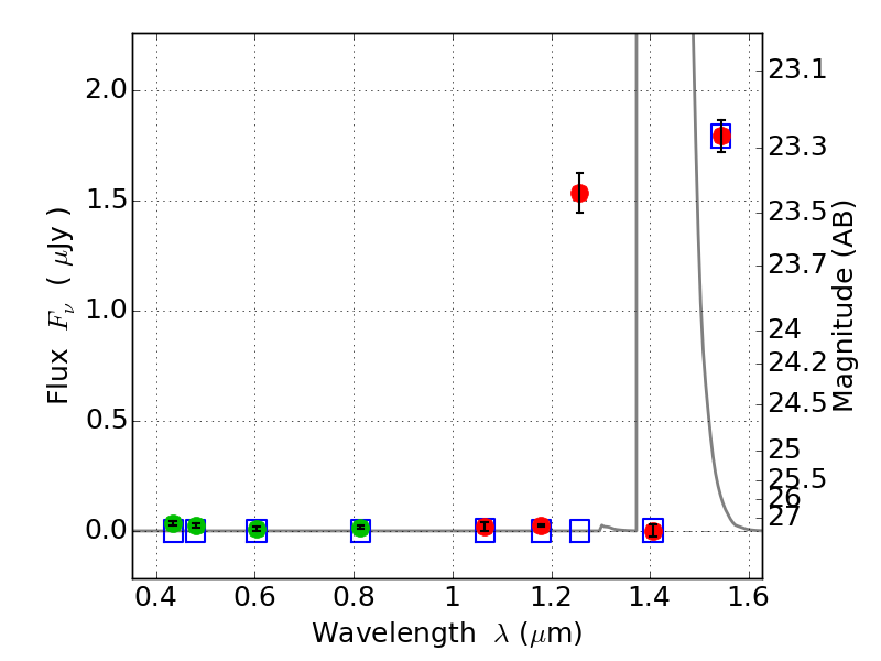
PLCKG287+32 IR detection object #924

Color images and BPZ results
Catalog: 924.cat
Black segments are analyzed here.   Roll mouse over color images to view segments.
Best viewed in a wide browser window (1200 pixels or more).   Download SED & P(z) plots to view larger versions.
In P(z) plots: Yellow lines mark the cluster redshift z = 0.390,  

Object #924   x,y = (3452, 2966)   RA, Dec = (11:50:47.064, -28:04:28.56) = (177.69610, -28.07460)   BPZ = 12.384 [12.253--12.975]   type = 9.10 (SB2_B10 - SB3_B10)   stellarity = 0.87   chisq2 = 17.50   ODDS = 0.91   z_cluster = 0.390