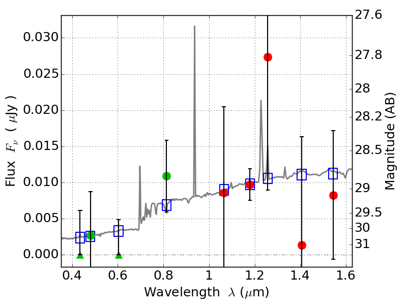
PLCKG287+32 IR detection object #886

Color images and BPZ results
Catalog: 886.cat
Black segments are analyzed here.   Roll mouse over color images to view segments.
Best viewed in a wide browser window (1200 pixels or more).   Download SED & P(z) plots to view larger versions.
In P(z) plots: Yellow lines mark the cluster redshift z = 0.390,  

Object #886   x,y = (1954, 3062)   RA, Dec = (11:50:53.856, -28:04:22.80) = (177.72440, -28.07300)   BPZ = 0.873 [0.299--5.862]   type = 8.30 (SB1_B10 - SB2_B10)   stellarity = 0.43   chisq2 = 0.43   ODDS = 0.07   z_cluster = 0.390