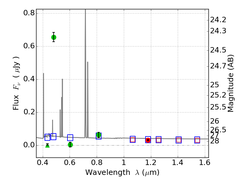
PLCKG287+32 IR detection object #876

Color images and BPZ results
Catalog: 876.cat
Black segments are analyzed here.   Roll mouse over color images to view segments.
Best viewed in a wide browser window (1200 pixels or more).   Download SED & P(z) plots to view larger versions.
In P(z) plots: Yellow lines mark the cluster redshift z = 0.390,  

Object #876   x,y = (4450, 3064)   RA, Dec = (11:50:42.552, -28:04:22.44) = (177.67730, -28.07290)   BPZ = 0.087 [0.079--3.074]   type = 11.00 (SB11_A_0_l)   stellarity = 0.00   chisq2 = 242.11   ODDS = 0.10   z_cluster = 0.390