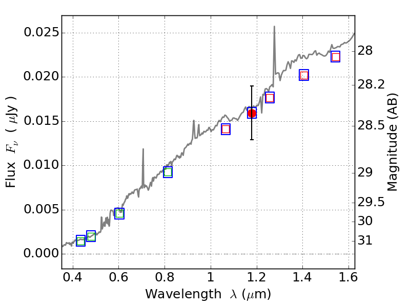
PLCKG287+32 IR detection object #848

Color images and BPZ results
Catalog: 848.cat
Black segments are analyzed here.   Roll mouse over color images to view segments.
Best viewed in a wide browser window (1200 pixels or more).   Download SED & P(z) plots to view larger versions.
In P(z) plots: Yellow lines mark the cluster redshift z = 0.390,  

Object #848   x,y = (4734, 3201)   RA, Dec = (11:50:41.256, -28:04:14.52) = (177.67190, -28.07070)   BPZ = 0.412 [0.051--0.865]   type = 6.30 (Sbc_B10 - Scd_B10)   stellarity = 0.29   chisq2 = 990.00   ODDS = 0.21   z_cluster = 0.390