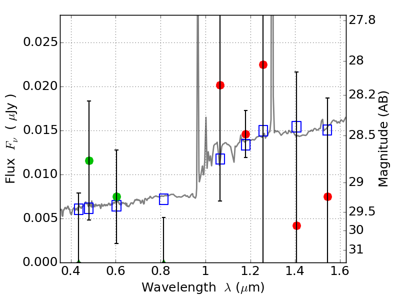
PLCKG287+32 IR detection object #839

Color images and BPZ results
Catalog: 839.cat
Black segments are analyzed here.   Roll mouse over color images to view segments.
Best viewed in a wide browser window (1200 pixels or more).   Download SED & P(z) plots to view larger versions.
In P(z) plots: Yellow lines mark the cluster redshift z = 0.390,  

Object #839   x,y = (1782, 3098)   RA, Dec = (11:50:54.648, -28:04:20.64) = (177.72770, -28.07240)   BPZ = 1.591 [0.333--6.793]   type = 9.30 (SB2_B10 - SB3_B10)   stellarity = 0.04   chisq2 = 0.78   ODDS = 0.12   z_cluster = 0.390