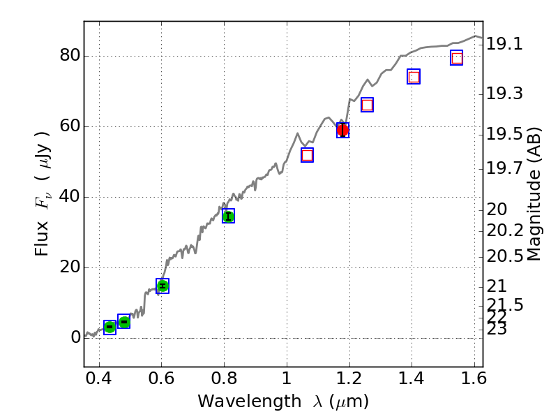
PLCKG287+32 IR detection object #826

Color images and BPZ results
Catalog: 826.cat
Black segments are analyzed here.   Roll mouse over color images to view segments.
Best viewed in a wide browser window (1200 pixels or more).   Download SED & P(z) plots to view larger versions.
In P(z) plots: Yellow lines mark the cluster redshift z = 0.390,  

Object #826   x,y = (1508, 3070)   RA, Dec = (11:50:55.872, -28:04:22.08) = (177.73280, -28.07280)   BPZ = 0.369 [0.311--0.408]   type = 4.20 (Ell4_A_0 - ES0_B10)   stellarity = 0.03   chisq2 = 0.00   ODDS = 0.97   z_cluster = 0.390