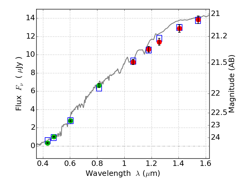
PLCKG287+32 IR detection object #803

Color images and BPZ results
Catalog: 803.cat
Black segments are analyzed here.   Roll mouse over color images to view segments.
Best viewed in a wide browser window (1200 pixels or more).   Download SED & P(z) plots to view larger versions.
In P(z) plots: Yellow lines mark the cluster redshift z = 0.390,  

Object #803   x,y = (3009, 3091)   RA, Dec = (11:50:49.080, -28:04:21.00) = (177.70450, -28.07250)   BPZ = 0.349 [0.275--0.394]   type = 3.40 (Ell5_A_0 - Ell4_A_0)   stellarity = 0.03   chisq2 = 0.06   ODDS = 0.92   z_cluster = 0.390