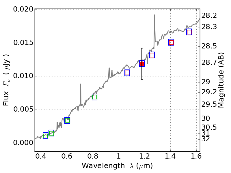
PLCKG287+32 IR detection object #793

Color images and BPZ results
Catalog: 793.cat
Black segments are analyzed here.   Roll mouse over color images to view segments.
Best viewed in a wide browser window (1200 pixels or more).   Download SED & P(z) plots to view larger versions.
In P(z) plots: Yellow lines mark the cluster redshift z = 0.390,  

Object #793   x,y = (4689, 3127)   RA, Dec = (11:50:41.472, -28:04:18.84) = (177.67280, -28.07190)   BPZ = 0.412 [0.051--0.865]   type = 6.30 (Sbc_B10 - Scd_B10)   stellarity = 0.64   chisq2 = 990.00   ODDS = 0.21   z_cluster = 0.390