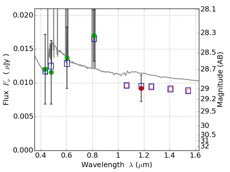
PLCKG287+32 IR detection object #70

Color images and BPZ results
Catalog: 70.cat
Black segments are analyzed here.   Roll mouse over color images to view segments.
Best viewed in a wide browser window (1200 pixels or more).   Download SED & P(z) plots to view larger versions.
In P(z) plots: Yellow lines mark the cluster redshift z = 0.390,  

Object #70   x,y = (2705, 3896)   RA, Dec = (11:50:50.448, -28:03:32.76) = (177.71020, -28.05910)   BPZ = 0.221 [0.104--3.428]   type = 11.00 (SB11_A_0_l)   stellarity = 0.66   chisq2 = 0.05   ODDS = 0.08   z_cluster = 0.390