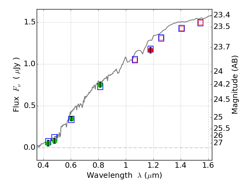
PLCKG287+32 IR detection object #699

Color images and BPZ results
Catalog: 699.cat
Black segments are analyzed here.   Roll mouse over color images to view segments.
Best viewed in a wide browser window (1200 pixels or more).   Download SED & P(z) plots to view larger versions.
In P(z) plots: Yellow lines mark the cluster redshift z = 0.390,  

Object #699   x,y = (1216, 3177)   RA, Dec = (11:50:57.216, -28:04:15.96) = (177.73840, -28.07110)   BPZ = 0.322 [0.222--0.554]   type = 4.00 (Ell4_A_0)   stellarity = 0.03   chisq2 = 0.12   ODDS = 0.65   z_cluster = 0.390