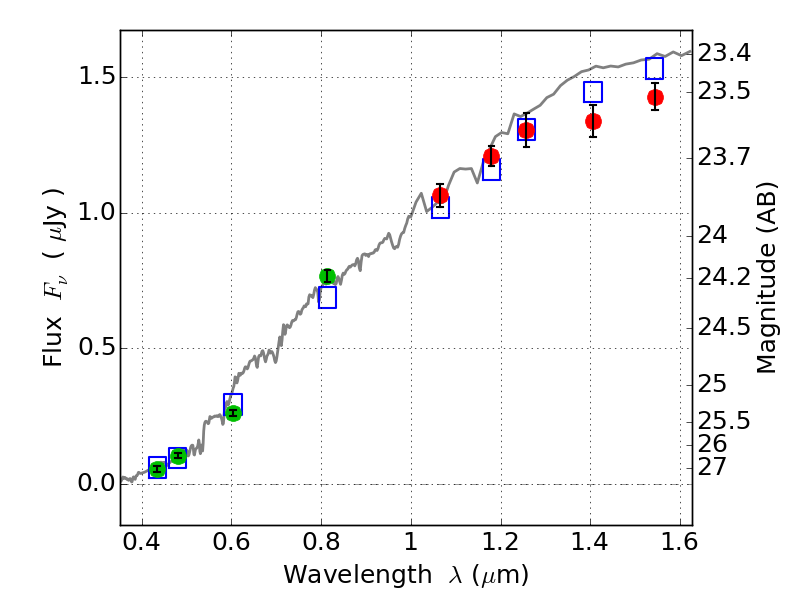
PLCKG287+32 IR detection object #695

Color images and BPZ results
Catalog: 695.cat
Black segments are analyzed here.   Roll mouse over color images to view segments.
Best viewed in a wide browser window (1200 pixels or more).   Download SED & P(z) plots to view larger versions.
In P(z) plots: Yellow lines mark the cluster redshift z = 0.390,  

Object #695   x,y = (2841, 3140)   RA, Dec = (11:50:49.848, -28:04:18.12) = (177.70770, -28.07170)   BPZ = 0.351 [0.288--0.424]   type = 2.80 (Ell5_A_0 - Ell6_A_0)   stellarity = 0.97   chisq2 = 0.45   ODDS = 0.86   z_cluster = 0.390