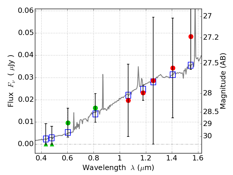
PLCKG287+32 IR detection object #639

Color images and BPZ results
Catalog: 639.cat
Black segments are analyzed here.   Roll mouse over color images to view segments.
Best viewed in a wide browser window (1200 pixels or more).   Download SED & P(z) plots to view larger versions.
In P(z) plots: Yellow lines mark the cluster redshift z = 0.390,  

Object #639   x,y = (2714, 3497)   RA, Dec = (11:50:50.424, -28:03:56.52) = (177.71010, -28.06570)   BPZ = 0.736 [0.329--5.070]   type = 6.60 (Scd_B10 - Sbc_B10)   stellarity = 0.00   chisq2 = 0.28   ODDS = 0.07   z_cluster = 0.390