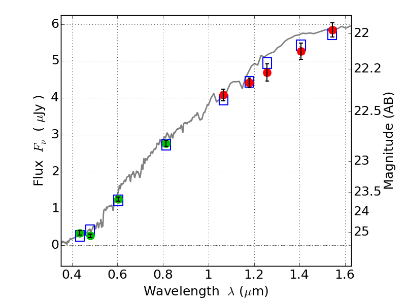
PLCKG287+32 IR detection object #629

Color images and BPZ results
Catalog: 629.cat
Black segments are analyzed here.   Roll mouse over color images to view segments.
Best viewed in a wide browser window (1200 pixels or more).   Download SED & P(z) plots to view larger versions.
In P(z) plots: Yellow lines mark the cluster redshift z = 0.390,  

Object #629   x,y = (3075, 3221)   RA, Dec = (11:50:48.768, -28:04:13.08) = (177.70320, -28.07030)   BPZ = 0.348 [0.269--0.390]   type = 4.00 (Ell4_A_0)   stellarity = 0.03   chisq2 = 0.14   ODDS = 0.92   z_cluster = 0.390