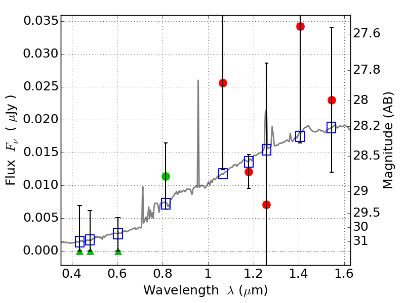
PLCKG287+32 IR detection object #544

Color images and BPZ results
Catalog: 544.cat
Black segments are analyzed here.   Roll mouse over color images to view segments.
Best viewed in a wide browser window (1200 pixels or more).   Download SED & P(z) plots to view larger versions.
In P(z) plots: Yellow lines mark the cluster redshift z = 0.390,  

Object #544   x,y = (3312, 3291)   RA, Dec = (11:50:47.712, -28:04:09.12) = (177.69880, -28.06920)   BPZ = 0.910 [0.367--5.890]   type = 6.80 (Scd_B10 - Sbc_B10)   stellarity = 0.10   chisq2 = 0.60   ODDS = 0.08   z_cluster = 0.390