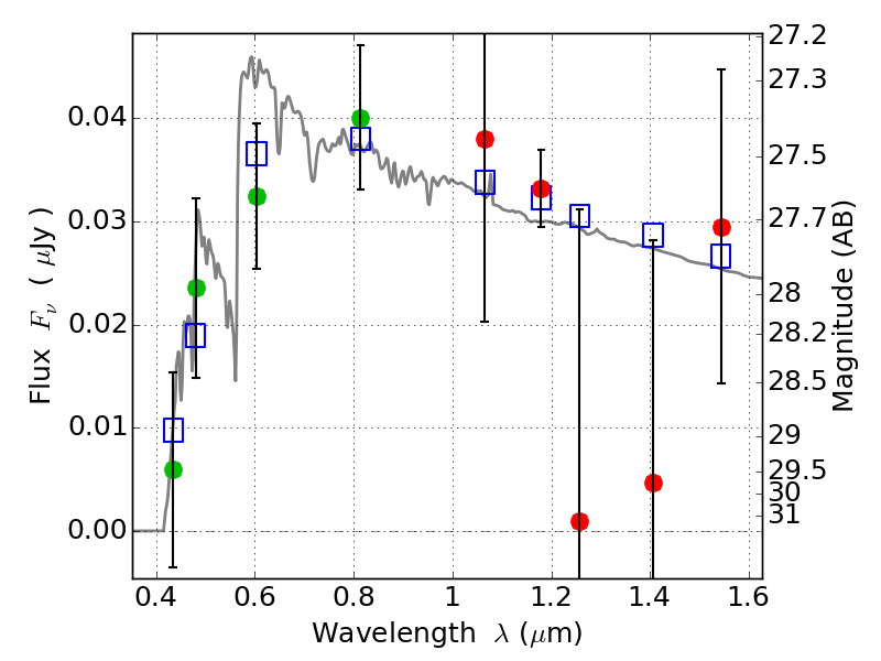
PLCKG287+32 IR detection object #53

Color images and BPZ results
Catalog: 53.cat
Black segments are analyzed here.   Roll mouse over color images to view segments.
Best viewed in a wide browser window (1200 pixels or more).   Download SED & P(z) plots to view larger versions.
In P(z) plots: Yellow lines mark the cluster redshift z = 0.390,  

Object #53   x,y = (3117, 3918)   RA, Dec = (11:50:48.576, -28:03:31.32) = (177.70240, -28.05870)   BPZ = 3.626 [0.163--4.052]   type = 10.50 (SB11_A_0_l - SB3_B10)   stellarity = 0.00   chisq2 = 0.48   ODDS = 0.36   z_cluster = 0.390