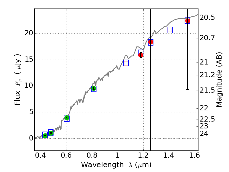
PLCKG287+32 IR detection object #469

Color images and BPZ results
Catalog: 469.cat
Black segments are analyzed here.   Roll mouse over color images to view segments.
Best viewed in a wide browser window (1200 pixels or more).   Download SED & P(z) plots to view larger versions.
In P(z) plots: Yellow lines mark the cluster redshift z = 0.390,  

Object #469   x,y = (1963, 3327)   RA, Dec = (11:50:53.808, -28:04:06.96) = (177.72420, -28.06860)   BPZ = 0.414 [0.329--0.462]   type = 3.10 (Ell5_A_0 - Ell4_A_0)   stellarity = 0.03   chisq2 = 0.03   ODDS = 0.89   z_cluster = 0.390