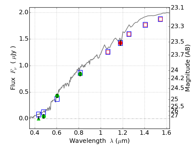
PLCKG287+32 IR detection object #408

Color images and BPZ results
Catalog: 408.cat
Black segments are analyzed here.   Roll mouse over color images to view segments.
Best viewed in a wide browser window (1200 pixels or more).   Download SED & P(z) plots to view larger versions.
In P(z) plots: Yellow lines mark the cluster redshift z = 0.390,  

Object #408   x,y = (1182, 3372)   RA, Dec = (11:50:57.360, -28:04:04.08) = (177.73900, -28.06780)   BPZ = 0.372 [0.240--0.458]   type = 3.80 (Ell4_A_0 - Ell5_A_0)   stellarity = 0.03   chisq2 = 0.46   ODDS = 0.64   z_cluster = 0.390