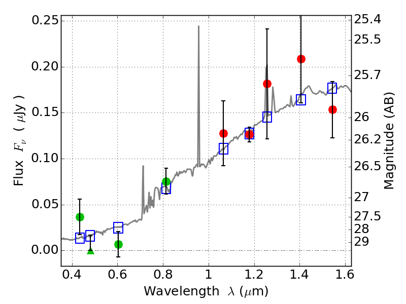
PLCKG287+32 IR detection object #397

Color images and BPZ results
Catalog: 397.cat
Black segments are analyzed here.   Roll mouse over color images to view segments.
Best viewed in a wide browser window (1200 pixels or more).   Download SED & P(z) plots to view larger versions.
In P(z) plots: Yellow lines mark the cluster redshift z = 0.390,  

Object #397   x,y = (2980, 3385)   RA, Dec = (11:50:49.200, -28:04:03.36) = (177.70500, -28.06760)   BPZ = 0.909 [0.403--5.521]   type = 6.80 (Scd_B10 - Sbc_B10)   stellarity = 0.00   chisq2 = 0.80   ODDS = 0.24   z_cluster = 0.390