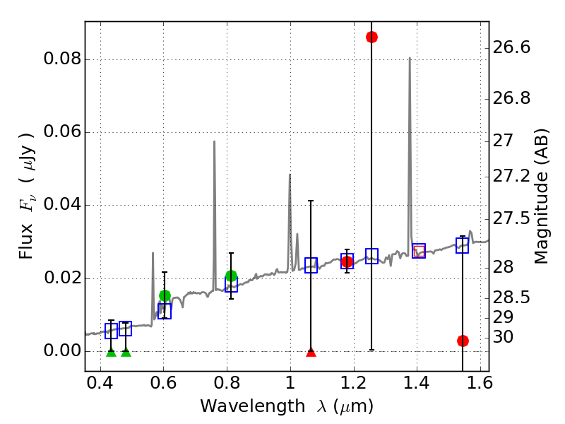
PLCKG287+32 IR detection object #394

Color images and BPZ results
Catalog: 394.cat
Black segments are analyzed here.   Roll mouse over color images to view segments.
Best viewed in a wide browser window (1200 pixels or more).   Download SED & P(z) plots to view larger versions.
In P(z) plots: Yellow lines mark the cluster redshift z = 0.390,  

Object #394   x,y = (3421, 3641)   RA, Dec = (11:50:47.208, -28:03:47.88) = (177.69670, -28.06330)   BPZ = 0.520 [0.251--4.886]   type = 8.00 (SB1_B10)   stellarity = 0.19   chisq2 = 0.64   ODDS = 0.06   z_cluster = 0.390