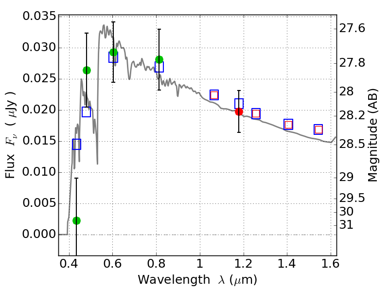
PLCKG287+32 IR detection object #3332

Color images and BPZ results
Catalog: 3332.cat
Black segments are analyzed here.   Roll mouse over color images to view segments.
Best viewed in a wide browser window (1200 pixels or more).   Download SED & P(z) plots to view larger versions.
In P(z) plots: Yellow lines mark the cluster redshift z = 0.390,  

Object #3332   x,y = (2580, 1134)   RA, Dec = (11:50:51.024, -28:06:18.36) = (177.71260, -28.10510)   BPZ = 3.366 [0.186--3.735]   type = 11.00 (SB11_A_0_l)   stellarity = 0.70   chisq2 = 2.17   ODDS = 0.42   z_cluster = 0.390