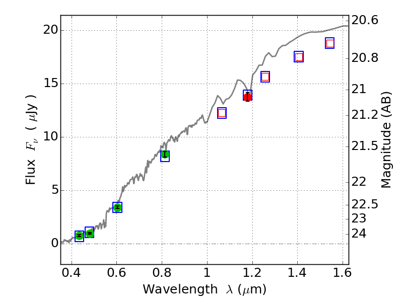
PLCKG287+32 IR detection object #3309

Color images and BPZ results
Catalog: 3309.cat
Black segments are analyzed here.   Roll mouse over color images to view segments.
Best viewed in a wide browser window (1200 pixels or more).   Download SED & P(z) plots to view larger versions.
In P(z) plots: Yellow lines mark the cluster redshift z = 0.390,  

Object #3309   x,y = (2233, 1141)   RA, Dec = (11:50:52.608, -28:06:18.00) = (177.71920, -28.10500)   BPZ = 0.386 [0.329--0.443]   type = 3.10 (Ell5_A_0 - Ell4_A_0)   stellarity = 0.03   chisq2 = 0.03   ODDS = 0.95   z_cluster = 0.390