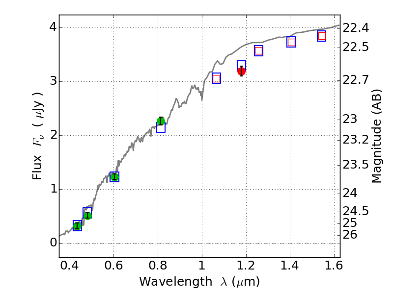
PLCKG287+32 IR detection object #3215

Color images and BPZ results
Catalog: 3215.cat
Black segments are analyzed here.   Roll mouse over color images to view segments.
Best viewed in a wide browser window (1200 pixels or more).   Download SED & P(z) plots to view larger versions.
In P(z) plots: Yellow lines mark the cluster redshift z = 0.390,  

Object #3215   x,y = (1700, 1354)   RA, Dec = (11:50:55.008, -28:06:05.04) = (177.72920, -28.10140)   BPZ = 0.174 [0.122--3.568]   type = 4.00 (Ell4_A_0)   stellarity = 0.03   chisq2 = 0.17   ODDS = 0.49   z_cluster = 0.390