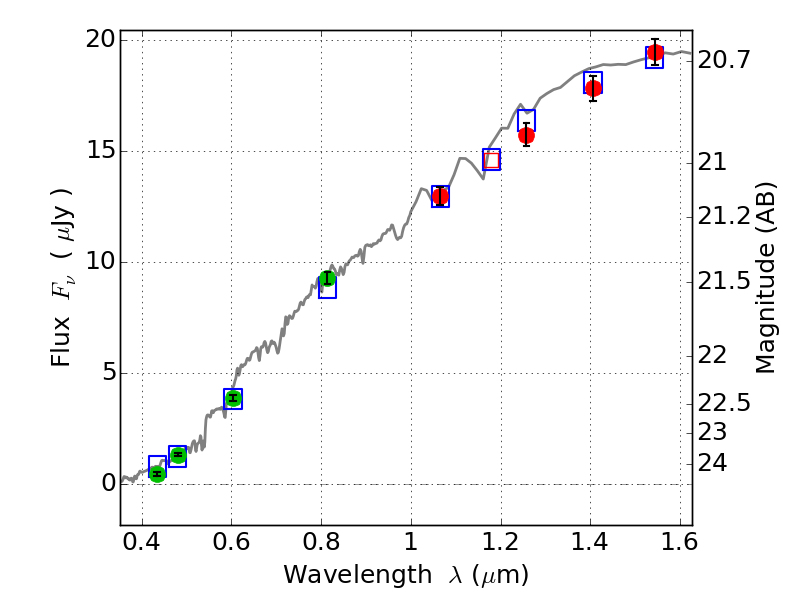
PLCKG287+32 IR detection object #2993

Color images and BPZ results
Catalog: 2993.cat
Black segments are analyzed here.   Roll mouse over color images to view segments.
Best viewed in a wide browser window (1200 pixels or more).   Download SED & P(z) plots to view larger versions.
In P(z) plots: Yellow lines mark the cluster redshift z = 0.390,  

Object #2993   x,y = (2902, 1656)   RA, Dec = (11:50:49.560, -28:05:47.04) = (177.70650, -28.09640)   BPZ = 0.364 [0.282--0.402]   type = 3.70 (Ell4_A_0 - Ell5_A_0)   stellarity = 0.03   chisq2 = 0.09   ODDS = 0.91   z_cluster = 0.390