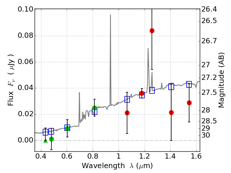
PLCKG287+32 IR detection object #2971

Color images and BPZ results
Catalog: 2971.cat
Black segments are analyzed here.   Roll mouse over color images to view segments.
Best viewed in a wide browser window (1200 pixels or more).   Download SED & P(z) plots to view larger versions.
In P(z) plots: Yellow lines mark the cluster redshift z = 0.390,  

Object #2971   x,y = (2842, 1693)   RA, Dec = (11:50:49.824, -28:05:44.88) = (177.70760, -28.09580)   BPZ = 0.871 [0.313--5.547]   type = 7.70 (SB1_B10 - Scd_B10)   stellarity = 0.78   chisq2 = 0.92   ODDS = 0.12   z_cluster = 0.390