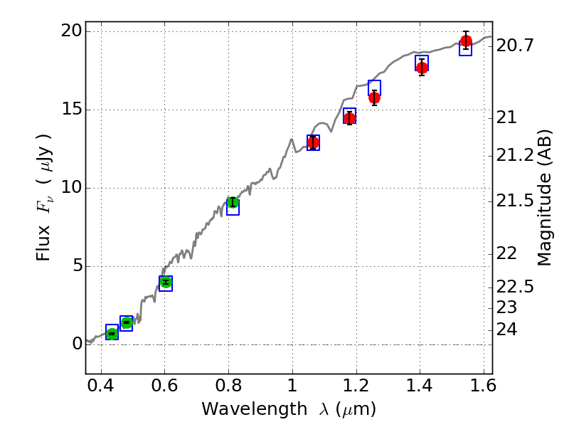
PLCKG287+32 IR detection object #2951

Color images and BPZ results
Catalog: 2951.cat
Black segments are analyzed here.   Roll mouse over color images to view segments.
Best viewed in a wide browser window (1200 pixels or more).   Download SED & P(z) plots to view larger versions.
In P(z) plots: Yellow lines mark the cluster redshift z = 0.390,  

Object #2951   x,y = (2050, 1585)   RA, Dec = (11:50:53.424, -28:05:51.36) = (177.72260, -28.09760)   BPZ = 0.325 [0.242--0.366]   type = 2.90 (Ell5_A_0 - Ell6_A_0)   stellarity = 0.03   chisq2 = 0.08   ODDS = 0.87   z_cluster = 0.390