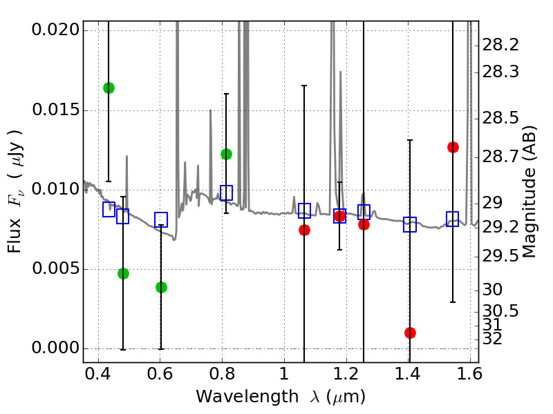
PLCKG287+32 IR detection object #2834

Color images and BPZ results
Catalog: 2834.cat
Black segments are analyzed here.   Roll mouse over color images to view segments.
Best viewed in a wide browser window (1200 pixels or more).   Download SED & P(z) plots to view larger versions.
In P(z) plots: Yellow lines mark the cluster redshift z = 0.390,  

Object #2834   x,y = (2850, 1780)   RA, Dec = (11:50:49.800, -28:05:39.84) = (177.70750, -28.09440)   BPZ = 0.759 [0.179--3.987]   type = 10.60 (SB11_A_0_l - SB3_B10)   stellarity = 0.10   chisq2 = 0.72   ODDS = 0.07   z_cluster = 0.390