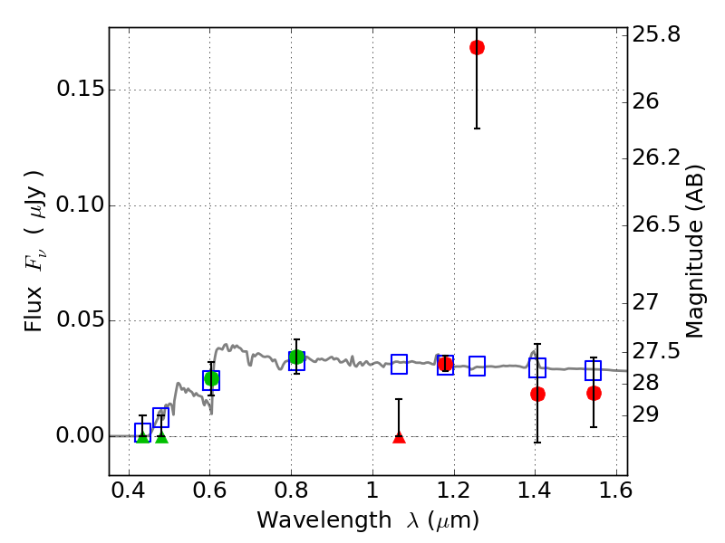
PLCKG287+32 IR detection object #2828

Color images and BPZ results
Catalog: 2828.cat
Black segments are analyzed here.   Roll mouse over color images to view segments.
Best viewed in a wide browser window (1200 pixels or more).   Download SED & P(z) plots to view larger versions.
In P(z) plots: Yellow lines mark the cluster redshift z = 0.390,  

Object #2828   x,y = (3283, 1785)   RA, Dec = (11:50:47.832, -28:05:39.48) = (177.69930, -28.09430)   BPZ = 3.990 [0.261--4.604]   type = 10.10 (SB3_B10 - SB11_A_0_l)   stellarity = 0.51   chisq2 = 3.41   ODDS = 0.33   z_cluster = 0.390