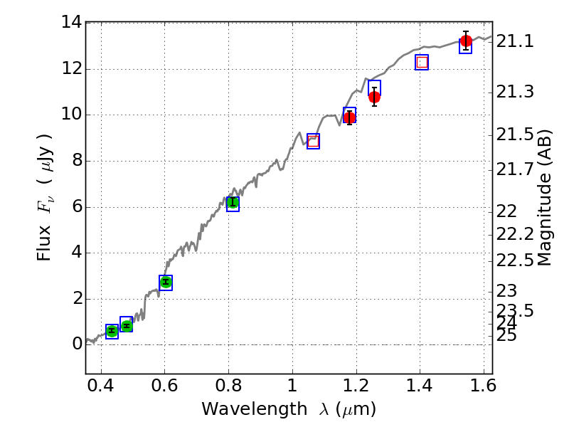
PLCKG287+32 IR detection object #2783

Color images and BPZ results
Catalog: 2783.cat
Black segments are analyzed here.   Roll mouse over color images to view segments.
Best viewed in a wide browser window (1200 pixels or more).   Download SED & P(z) plots to view larger versions.
In P(z) plots: Yellow lines mark the cluster redshift z = 0.390,  

Object #2783   x,y = (2263, 1771)   RA, Dec = (11:50:52.464, -28:05:40.20) = (177.71860, -28.09450)   BPZ = 0.353 [0.289--0.390]   type = 3.80 (Ell4_A_0 - Ell5_A_0)   stellarity = 0.03   chisq2 = 0.07   ODDS = 0.96   z_cluster = 0.390